PHY2048C (Fall 2025)

Undergraduate course, Florida State University, 2025

Physics Studio A

  • Instructor: Prof. Daniel D. Sega (email)
  • Instructor’s Office: 2nd Floor, Faculty Wing
  • Course Times: Fall 2025, Tue./Thu./Fri., 9:30 am-12:00 m
  • Location: 3rd Floor, Room 309
  • Office Hours: 1st Floor, Faculty Wing or Room 309: M to F 12:20-12:50 pm
  • Syllabus: See the most up-to-date version.

Summary

In this course, engineering and science majors will learn about the basic laws of motion in classical mechanics. They will learn how and why objects in our day-to-day move (or stay put) the way that they do, and will know how to predict projectile and rotational motion. They will also learn about the nature of scientific laws and the statistical nature of scientific measurements.

There’s a lot more information about this course – including details about the textbook, who should/shouldn’t take this class, and how your grade is calculated – in the syllabus.

Course Material

The primary “required readings” are in the OpenStax book University Physics 1 and the first section (thermodynamics) of University Physics 2. For one of our experiments in this class (Lab 5), you will be using your phone, and the app phyphox, which you can download here. To set-uo the extra credit tutorial student must fill this Excell sheet

Here are some additional resources:

  • An excellent, more abridged e-book for this course is available through the FSU Library Fundamental of Physics I. Give it a try if the OpenStax book treatment of a topic does not click with you. Ramamurti Shankar writes in a very particular voice that can help some students.
  • This book is based on R. Shankar’s Open Course (Yale University), which is available online. These lectures were, and still are, a helpful resource for me.
  • The phone app phyphox will be required in some of the labs, download here.
  • Here is a worksheet to practice verbal algebra problems. Here is another one. Problems like this will be use to test your ability of translating English and concepts into equations, an essential skill in this class.
  • Here are some examples of extra credit reading questions and mini-essay.

Schedule

Below is a detailed schedule that will list the material covered in each class session, links to electronic copies of any handouts and problem sets, and various course deadlines.

  • Tues., August 26: The Structure of Mechanics. Motion in 1D. (Chp. 1 & 3)

    Handout: syllabus Homework 1 (Chp. 2 & 4) assigned, due Tue., September 9.
  • Thur., August 28: Vectors (Chp. 2) | Problem-Solving Session | Motion in 1D. Chp. 3
  • Fri., August 29: Quiz Chp. 1 & 3 (Practice -> Solved) | Vectors, motion in higher dimensions. (Chp. 2 & 4)
  • Tues., September 2: Vectors, motion in higher dimensions. (Chp. 2 & 4)
  • Thur., September 4: Newton’s Laws I (Chp. 5)
  • Fri., September 5: Newton’s Laws II (Chp. 5)
  • Tues., September 9: Problem-Solving Session | Newton’s Laws I & II (Chp. 5 & Chp. 6)

    Homework 1 due. Homework 2 (Chp. 6 & 7 & 8 ) assigned, due Tue., September 23. Extra credit reading: What is a Law of Nature?, due Fri. September 19
  • Thur., September 11: Newton’s Laws II (Chp. 6)

    Lab 1: Measurements and dimesions
  • Fri., September 12: Problem-Solving Session | Newton’s Laws I & II (Chp. 5 & Chp. 6)
  • Tues., September 16: Quiz Chp. 5 & 6 (Practice -> Solved)
  • Thur., September 18: Work | Conservation of Energy in 1D (Chp. 7)
  • Fri., September 19: Conservation of Energy in 2D (Chp. 8) (2.5-hour lecture)

    Handout: Conservation of Energy in 2D and Problems
  • Tues., September 23: Problem-Solving Session | Conservation of Energy in 1D & 2D (Chp. 7 & Chp. 8)

    Homework 2 due.
  • Thur., September 25: Gravitation (Chp. 13)
  • Fri., September 26: Quiz Chp. 7 & 8 (Practice -> Solved)
  • Tues., September 30: Gravitation (Chp. 13)

    Lab 2: measuring g (Pendulum) Homework 3 (Ch 10, 11 & 13) assigned, due Tue., October 21. Extra credit reading: What is Space?, due Fri., October 10
  • Thur., October 2: Multiparticle Dynamics (Chp. 9).
  • Fri., October 3: Multiparticle Dynamics (Chp. 9)

    Lab 3: Collisions in 1D
  • Tues., October 7: Multiparticle Dynamics (Chp. 9)
  • Thur., October 9: Problem-Solving Session | Multiparticle Dynamics (Chp. 9)
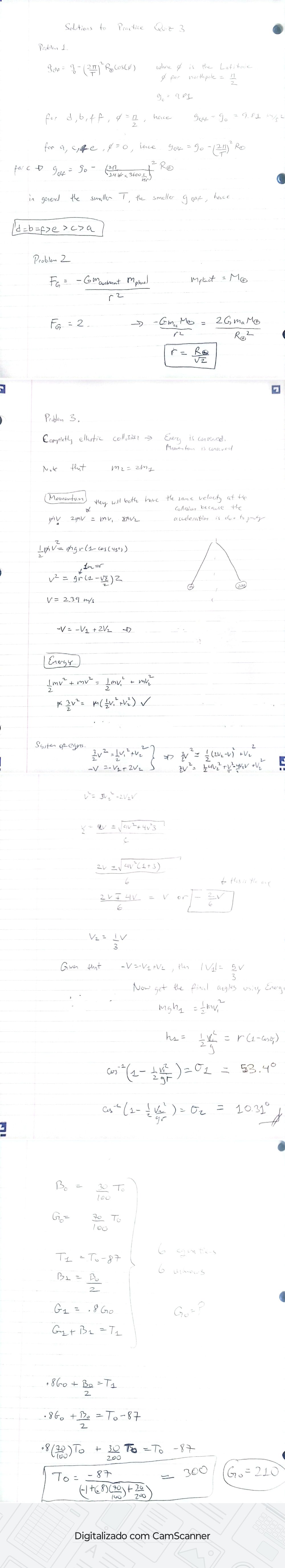
  • Fri., October 10: Quiz Chp. 13 & 9 (Practice -> Solved)
  • Tues., October 14: Rotational Dynamics I (Chp. 10)
  • Thur., October 16: Rotational Dynamics II (Chp. 11)
  • Fri., October 17: Rotational Dynamics III (Chp. 12)

    Homework 4 (Math & Ch 12) assigned, due Tues., November 11.
  • Tues., October 21: Quiz Chp. 12 (Practice)

    Homework 3 due
  • Thur., October 23: Rotational Dynamics III (Chp. 12)

    Lab 4, day 1: Rotating Frames
  • Fri., October 24: Rotational Dynamics III (Chp. 12)

    Lab 4, day 2: Rotating Frames
  • Tues., October 28: Problem Solving Session | Rotational Dynamics II (Chp. 11) and III (Chp. 12)
  • Thur., October 30: Quiz Chp. 11 & 12 (Practice -> Solved) | Simple Harmonic Motion (Ch. 15)

  • Fri., October 31: Mathematical Methods

    Handout: Complex numbers
  • Tues., November 4: No classes
  • Thur., November 6: Simple Harmonic Motion (Ch. 15)

    Handout: notes on damped harmonic motion
  • Fri., November 7: Simple Harmonic Motion (Ch. 15)
  • Tues., November 11: Problem Solving Session | Simple Harmonic Motion (Ch. 15)

    Homework 4 due. Homework 5 (Chp. 12 & 14) assigned, due Tues., December 4. Extra credit reading: What are waves?, due Fri. November 14
  • Thur., November 13: Quiz Chp. 15 (Practice-> Solved) | Waves (Ch. 16)
  • Fri., November 14: Waves (Ch. 14 & Ch. 16)
  • Tues., November 18: Fluid Statics (Ch. 14)
  • Thur., November 20: Fluid Statics (Ch. 14)

    Lab 5: Archimides and Springs| Pre-lab: read Ch. 14.4
  • Fri., November 21: Fluid Dynamics and Sound Waves (Ch. 16 and Ch. 17)

    Handout: notes on the Navier-Stokes equation and the wave equation
  • Tues., November 25: Fluid Dynamics and Sound Waves (Ch. 16 and Ch. 17)
  • Thur., November 27: Sound Waves (Ch. 17)

    Lab 6: Speed of sound experiment | Pre-lab: re-read Ch 17.2 and watch this video
  • Fri., November 28: No Classes
  • Tues., December 2: Problem Solving Session | Sound Waves, Waves, and Fluids (Ch. 14, Ch. 16, and Ch. 17)

  • Thur., December 4: Quiz Chp. 14, 16 & 17 (Practice) | Sound Waves, Waves, and Fluids (Ch. 14, Ch. 16, and Ch. 17)

    Homework 5 due

  • Fri., December 5: Heat and Thermodynamics I (Ch. 1b) and Ch. 2b)

    Lab 7: Thermal Expansion | Pre-lab: re-read Ch 1.4b

[Final Exam Tues., December 9. (Practice)]